Poliuretano é um polímero produzido pela reação de poliadição de um isocianato (di ou polifuncional) com um poliol e outros reagentes como: agentes de cura ou extensores de cadeia. Neste polímero o uretano é a molécula que se repete, sendo que sua estrutura é composta por 4 tipo de átomos (2 oxigênios, 1 nitrogênio, 1 carbono e 1 hidrogênio) distribuídos de uma certa forma.
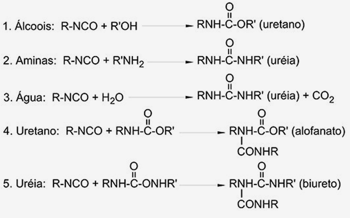
Como resultado, na tecnologia dos PUs existem cinco reações principais dos isocianatos com:
1. polióis formando poliuretanos;
2. aminas dando poliuréias;
3. água originando poliuréia e liberando gás carbônico que é o principal agente de expansão nas espumas de PU;
4. grupos uretano;
5. uréia resultando na formação de ligações cruzadas alofanato e biureto, respectivamente:
Apesar de a tecnologia do poliuretano ser recente, a química da uretana data de 1849. Foi quando Wurtz e Hoffmann divulgaram reações envolvendo um isocianato e um composto hidroxílico. Essas reações ficaram por muito tempo limitadas a experiências de laboratório, até que em 1937, na Alemanha, Dr. Otto Bayer e colaboradores deu início à indústria de poliuretanos, explorando o uso comercial dos isocianatos e,como resultado, começaram a trabalhar no desenvolvimento de polímeros à base de poliésteres, que se tornariam competitivos com o nylon.
Posteriormente, com o advento da II Guerra mundial e a consequente carência de materiais de borracha, incentivou-se o desenvolvimento de produtos a base de uretana. Principalmente para aplicações como fibras, cerdas, adesivos, revestimentos, elastômeros e espumas. Desse modo, trabalhos intensivos realizados nos Estados Unidos e Inglaterra fizeram com que a tecnologia da uretana tornasse mundialmente conhecida.
Assim, utilizado em diversas aplicações e em diversas formas, o Poliuretano é hoje um dos materiais que mais proporcionam desenvolvimentos na área industrial por possuir uma gama de características físicas, mecânicas, químicas e térmicas. Podemos encontra-lo como espuma semi-flexível, espuma semi-rígida, termoplástico ou termofixo.
No Brasil, as primeiras fábricas de Poliuretano foram instaladas, na região sudeste, entre 1961 e 1965, atendendo principalmente a indústria automotiva. Dentre elas, a fábrica da Plastiprene.
Como resultado, nos anos 80, o crescimento de importância comercial foi a moldagem por injeção e reação (RIM), dando ímpeto aos estudos das relações entre estrutura molecular e propriedades dos PU’s.
Atualmente o consumo brasileiro de Poliuretano se divide em diversos setores, estratégicos e importantes da economia, como: Mineração, Petróleo e Gás, Siderurgia, Ferrovia, Naval, Agronegócio, Automobilístico, Metal-Mecânica, Calçadista e Equipamentos.
Não há nenhuma dúvida de que nos últimos 40 anos o poliuretano avançou de simples curiosidade de laboratório até produtos comerciais de grande importância. Desse modo, saltou de uma produção total de meio milhão de toneladas nos Estados Unidos em 1970 para 4,1 milhões de toneladas em 2010. Mais importante é que novos produtos e novos processos continuarão a surgir devido ao trabalho incessante de pesquisa e desenvolvimento nesse campo.
Assim, existem duas principais razões: desempenho e custo benefício.
Para um produto ter sucesso, certamente, é necessária a correta seleção do material de acordo com as necessidades exigidas pela aplicação do mesmo. Por exemplo, em alguns casos aço, alumínio ou outros metais são os materiais escolhidos, em outros casos plásticos – ABS, poliestireno, PVC ou resinas fenólicas são a melhor escolha, no entanto, em um grande número de aplicações os poliuretanos oferecem melhores características.
Desse modo a variedade dos poliuretanos é substancial. Ou seja, cada material tem seus atributos e deficiências. Desta forma o essencial, quando falamos em aplicações de engenharia, é verificar cada tipo de PU e então selecionar o que melhor atende às necessidades da aplicação em questão proporcionando melhor custo benefício.
Poliuretanos fundidos são obtidos pela mistura de dois produtos – um pré-polímero e um curativo – que são “derramados”.
Estes dois produtos são homogeneizados por meio de mistura manual ou automatizada, posteriormente esta mistura é derramada em um molde que vai para estufa para cura e finalização da reação, finalmente podemos dar acabamento obtendo as medidas finais da peça. A maior característica destes materiais são suas extraordinárias propriedades físicas. Os poliuretanos fundidos são atualmente considerados como plásticos de engenharia e são selecionados com base nas propriedades de cada tipo de poliuretano fundido.
O desempenho dos poliuretanos fundidos nos permite utilizá-los em aplicações onde outros materiais mais simples não atenderão as necessidades da aplicação em questão.
Isso normalmente é resultado de suas propriedades como resistência a abrasão, tenacidade, que é resistência à quebra por impacto ou carga, alta resistência à corte e alta capacidade de carga. Estas quatro propriedades, que certamente não são as únicas propriedades dos poliuretanos, são as que distanciam os poliuretanos de longe de outros materiais em muitas aplicações.
Custo benefício é a segunda razão: apesar de o poliuretano ser normalmente mais caro que outros materiais, incluindo borracha, o custo extra é frequentemente justificado em termos de menor inatividade proporcionando melhor custo benefício. Isso é predominante nas indústrias de mineração e papel. Inatividade nestas indústrias é muita cara. Caso uma mineração pare para reposição de uma peça que falhou, os custos podem atingir milhares de reais por hora.



















Lorem ipsum dolor sit amet, consectetur adipiscing elit. Sed tortor lacus, bibendum eu ornare a, ornare et elit. Integer hendrerit suscipit justo ut rhoncus. Vivamus finibus, ligula non condimentum rhoncus, tortor nisl cursus ipsum, vitae iaculis leo tortor ut neque. Mauris consectetur faucibus dictum. In tempus dui ullamcorper nisi laoreet finibus.
Lorem ipsum dolor sit amet, consectetur adipiscing elit. Sed tortor lacus, bibendum eu ornare a, ornare et elit. Integer hendrerit suscipit justo ut rhoncus. Vivamus finibus, ligula non condimentum rhoncus, tortor nisl cursus ipsum, vitae iaculis leo tortor ut neque. Mauris consectetur faucibus dictum. In tempus dui ullamcorper nisi laoreet finibus.
Lorem ipsum dolor sit amet, consectetur adipiscing elit. Sed tortor lacus, bibendum eu ornare a, ornare et elit. Integer hendrerit suscipit justo ut rhoncus. Vivamus finibus, ligula non condimentum rhoncus, tortor nisl cursus ipsum, vitae iaculis leo tortor ut neque. Mauris consectetur faucibus dictum. In tempus dui ullamcorper nisi laoreet finibus.